38.
Нормальное распределение
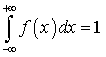
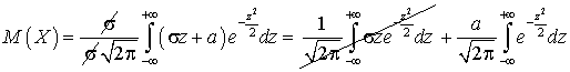
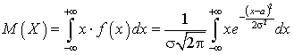
Определение. Нормальным называется распределение вероятностей случайной величины X, плотность распределения вероятностей которой имеет вид: .Коэффициент перед экспонентой обеспечивает выполнение равенства .Нормальное распределение характеризуется двумя параметрами: a и σ. Они однозначно определяют нормальное распределение.Нормированным называется нормальное распределение с параметрами a = 0 и σ = 1 . Если для нормально распределенной случайной величины X имеются a и σ, то  — нормированная нормально распределенная случайная величина.Функция распределения F (x) для нормально распределенной случайной величины есть (квант 33): ,а для нормированного распределения — .Легко убедиться, что , поэтому, поскольку таблица для функции F0 (x) имеется, по ней можно вычислить F (x).Математическое ожидание для нормально распределенной случайной величины может быть вычи c лено по формуле (квант 34): .Используя метод замены переменной , получим: .Первое слагаемое равно нулю (нечетная функция под интегралом), а второе слагаемое равно a ( — интеграл Пуассона). Следовательно, для нормального распределения:Дисперсия для равномерно распределенной случайной величины с учетом, что может быть вычислено по формуле (квант 35): . .Введем переменную . Получим .Интегрируя по частям, получим: .Отсюда следует, что среднеквадратичное отклонение равно: . Видеолекция «Нормальное распределение»: