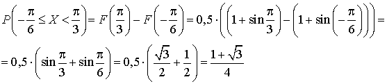
Пример 35.1Функция распределения вероятностей имеет вид:
Найти вероятность того, что Х примет значение в диапазоне 

Решение.
Пример 35.2Функция распределения вероятностей имеет вид:
Найти плотность распределения вероятностей.Решение.
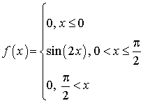
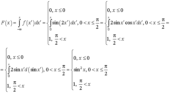
Пример 35.3Плотность распределения вероятностей имеет вид:
Найти функцию распределения вероятностей.Решение.

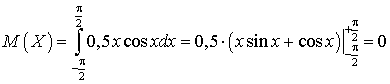
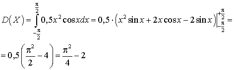
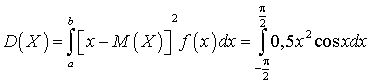
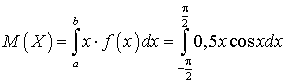
Пример 35.4Вычислить математическое ожидание, дисперсию и среднеквадратичное отклонение случайной величины, плотность распределения вероятностей которой имеет вид:
Решение.
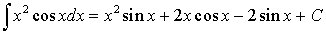
.Применяя метод интегрирования по частям, получим:
.Следовательно:
.Применяя метод интегрирования по частям, получим:
.Следовательно:
Видеолекция «Задачи на непрерывные случайные величины»: