называется распределение вероятностей случайной величины X, плотность распределения вероятностей которой имеет вид:
,где
— параметр показательного распределения.
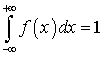
Множитель
перед экспонентой обеспечивает выполнение соотношения
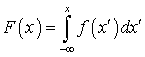
.Вычислим функцию распределения F (x). Для этого воспользуемся формулой (квант 33):
.
Пусть
. Вычислим вероятность попадания в интервал (a, b) случайной величины X, распределенной по показательному закону. По формуле (квант 33)
получим
.Пример 37.1Непрерывная случайная величина X распределена по показательному закону
. Найти вероятность того, что в результате испытаний X попадет в интервал (1, 2).Решение.
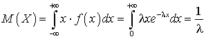
Математическое ожидание для случайной величины, которая распределена по показательному закону, может быть вычичлено по формуле (квант 34):
.Интегрируя по частям, получим:
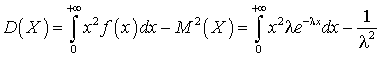
.Дисперсия для для случайной величины, которая распределена по показательному закону, может быть вычислено по формуле (квант 35):
.Интегрируя по частям, получим:
.Отсюда следует, что среднеквадратичное отклонение равно:
. Видеолекция «Показательное распределение»: