содержится в законе распределения
. Однако в ряде случаев этот закон распределения неизвестен, или его нахождение сопряжено со значительными трудностями, поэтому наряду с законом распределения для характеристики случайной величины широко используют такие понятия как математическое ожидание
и дисперсия
. В этих понятиях содержится существенно меньше информации о случайной величине, чем в законе распределения, но в ряде случаев этой информации вполне достаточно, и эта информация часто является лучше воспринимаемой для понимания. В этом кванте мы рассмотрим математическое ожидание (для краткости иногда произносят «мат. ожидание»).Определение. Математическим ожиданием дискретной случайной величины
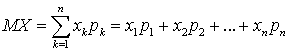
с распределением вероятностей соответственно
называется величина:
. Замечание 1. Если дискретная случайная величина содержит бесконечное число возможных значений, то математическое ожидание будет содержать бесконечное число слагаемых в сумме, то есть будет числовым рядом
.Замечание 2. Величина X — случайная, то есть может принимать случайные значения, но математическое ожидание MX, вычисляемое на основе закона распределения, есть число не случайное, а имеющее для данного закона распределения вполне определенное значение.Пример 26.1Найти математическое ожидание случайной величины, заданной законом распределения:
x |
2 |
3 |
5 |
6 |
p |
0,1 |
0,3 |
0,1 |
0,5 |
. Пример 26.2Найти математическое ожидание случайной величины — числа выпавших очков при подбрасывании игрального кубика.В 25 кванте нами был получен закон распределения заданной случайной величины: вероятности каждого из возможных значений 1, 2, 3, 4, 5, 6 равны 1/6. По определению математического ожидания вычисляем:
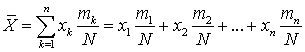
. Несмотря на то, что возможные значения случайной величины — исключительно натуральные числа, математическое ожидание может быть числом не целым.Выясним вероятностный смысл математического ожидания. Пусть произведено достаточно большое число испытаний N. Случайная величина X в результате N испытаний m1 раз приняла значение x1, m2 раз — значение x2, и так далее: mn раз — значение xn. Очевидно, что
. Вычислим среднее арифметическое случайной величины X:
. Записав это соотношение в виде:
, и вводя относительную частоту повторения
, среднее арифметическое случайной величины запишется как:
. Если число испытаний N велико, то относительная частота повторений приблизительно равна вероятности выпадения этого значения случайной величины
, а, значит, среднее арифметическое случайной величины приблизительно равно ее математическому ожиданию
. В этом и состоит вероятностный смысл математического ожидания.Сформулируем ряд свойств математического ожидания, упрощающих вычисления.
.Величина
есть случайная величина, в которой значения случайной величины X умножаются на константу C, а соответствующие вероятности остаются неизменными. Тогда в формуле для математического ожидания все значения случайной величины будут содержать множитель C, который можно вынести за скобку и получить сформулированное утверждение:
.
. Пусть законы распределения случайных величин X и Y равны соответственно
и
. Тогда закон распределения случайной величины
будет
(произведение ввиду того, что случайные величины независимы). По определению математического ожидания
, а
. Отсюда и следует равенство
. Аналогичную формулу можно получить и для произведения трех и более независимых случайных величин разбиением на пары множителей и последовательным применением этого свойства к каждой паре.
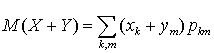
.Используя обозначения, введенные в предыдущем пункте и обозначая вероятность того, что случайная величина
примет значение
символом
можем записать:
. Перегруппируем слагаемые в сумме:
. Величина
есть сумма вероятностей того, что случайная величина Y примет значение ym, а при этом случайная величина X имеет значение xk. Все эти события несовместны, значит,
. Аналогично можно показать, что
. В итоге получаем:
.Аналогичная формула справедлива для суммы трех и более случайных величин, которую можно получить разбиением на пары случайных величин и последовательным применением полученной формулы для каждой из пар. Используя второе свойство легко показать, что
.