13.
Задачи на сложение и умножение вероятностей
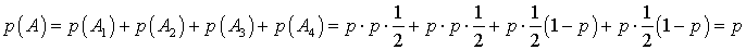
Рассмотренные в кванте 10, кванте 11 и кванте 12 формулы для вероятности суммы несовместных событий , вероятности противоположных событий  и вероятности произведения событий  позволяет решать ряд задач. Рассмотрим некоторые из них.Пример 13.1Студент отправляется на экзамен. Вероятности получить 5, 4, 3 и 2 равны, соответственно, 0,1; 0; 2; 0,3 и 0,4. Какова вероятность, что студент получит оценку не ниже четверки?Решение. Событие, что студент получит за экзамен не ниже четверки, есть сумма двух несовместных событий. Первое событие, что он получит 5, второе, что он получит 4. По формуле вероятности суммы нескольких несовместных событий получим .Пример 13.2Имеется 30 экзаменационных билетов, из которых студент выучил 15. При вытягивании невыученного билета разрешается вторая попытка. Какова вероятность, что студент экзамен сдаст?Решение. Пусть событие A состоит в том, что студент сдаст экзамен, а противоположное ему событие Ā, — что он его не сдаст. По формуле вероятностей противоположных событий получим . Поскольку событие Ā есть произведение двух событий и в первый, и во второй раз вытянуть невыученный билет, то по формуле вероятности произведения событий мы можем написать:. Пример 13.3Имеется 30 экзаменационных билетов. При вытягивании невыученного билета разрешается вторая попытка. Сколько билетов нужно выучить, чтобы вероятность сдать экзамен была не меньше 90%?Решение. Вероятность противоположного события (оба вытянутых билета — не выучены) должна быть меньше 10%, т.е. , где A — это событие, заключающееся в том, что экзамен сдан. Пусть n — число выученных билетов. Решим уравнение: или . Получим: или , . Второй корень отбрасываем как бессмысленный, в итоге имеем , причем , . Пример 13.4Имеются 2 варианта принятия судебного решения. В первом случае вердикт (виновен или не виновен подсудимый) выносит единолично судья, у которого вероятность принятия правильного решения равна р. Во втором случае имеются трое присяжных, каждый из которых независимо от остальных принимает решение, а окончательный вердикт выносится по большинству голосов. При этом первый и второй присяжные с такой же, как и у судьи вероятностью р принимают правильное решение, а третий присяжный принимает решение, подбрасывая монету (орел — не виновен, решка — виновен). В каком случае больше вероятность принятия правильного решения?Решение. Для ответа на вопрос нужно вычислить вероятность принятия правильного решения тройкой присяжных и сравнить с вероятностью принятия правильного решения судьей, равной р. Событие A, что тройка присяжных примет правильное решение есть сумма четырех несовместных событий:
    1) A1 — все трое приняли правильное решение;2) A2 — первый и второй приняли правильное решение, третий принял неправильное решение;3) A3 — первый и третий приняли правильное решение, второй принял неправильное решение;4) A4 — второй и третий приняли правильное решение, первый принял неправильное решение.
Следовательно, . Поскольку каждое из событий есть произведение трех независимых событий, можем написать, что:. Следовательно, вероятность принятия правильного решения судьей и тремя присяжными одинакова.
 Видеолекция «Задачи на сложение и умножение вероятностей»: