Бином
Ньютона
—
.Биномиальное распределение
— зависимость
.Варианта
— значение объекта в совокупности.Вариационный ряд
— варианты, записанные в возрастающей последовательности.Вероятностный смысл плотности распределения
—
.Вероятность попадания случайной величины в заданный интервал
—
.Вероятность появления хотя бы одного из независимых в совокупности событий
—
.Вероятность появления хотя бы одного события
—
.Вероятность произведения двух независимых событий
—
.Вероятность произведения независимых в совокупности событий
—
.Вероятность произведения событий
—
.Вероятность суммы несовместных событий
—
.Вероятность суммы противоположных событий
—
.Вероятность того, что случайная величина Х примет значение в диапазоне (a, b)
—
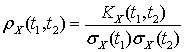
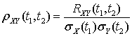
.Взаимная корреляционная функция случайных функций
X (t) и Y (t) — корреляционный момент случайных величин, соответствующих двум сечениям двух случайных функций при значениях аргумента t1 и t2, то есть
.Выбор с возвращением
— комбинации m элементов из n элементов, отличающиеся составом или порядком следования, причем выбранный элемент возвращается на место и может участвовать в дальнейшем выборе.Выборка бесповторная
— способ осуществления выборки, когда отобранный объект впоследствии не возвращается в генеральную совокупность.Выборка повторная
— способ осуществления выборки, когда отобранный объект впоследствии возвращается в генеральную совокупность и может участвовать в выборке повторно.Выборочная совокупность (выборка)
— совокупность случайно отобранных объектов.Выборочный корреляционный момент двумерной случайной величины
(X, Y) —
.Выборочный коэффициент корреляции двумерной случайной величины
(X, Y) —
.Вычисление дисперсии непрерывной случайной величины
—
.Генеральная совокупность
— совокупность всех объектов, из которых производится выборка.Генератор случайных чисел
— система на компьютере, выдающая случайные числа с равномерным распределением в диапазоне от нуля до единицы.Геометрическая вероятность
— отношение меры множества l к мере множества L.Геометрическое распределение
— закон распределения вида
.Гипергеометрическое распределение
— закон распределения вида
Eqn_gloss_018.gif.Гипотеза конкурирующая (альтернативная)
— гипотеза, противоречащая нулевой.Гипотеза нулевая (основная)
— гипотеза, выдвинутая для проверки.Гипотеза простая
— гипотеза, состоящая из одного предположения.Гипотеза сложная
— гипотеза, состоящая из нескольких простых.Гистограмма
— способ графического представления статистического распределения с непрерывными значениями признака, для чего ось абсцисс разделяется на интервалы и на каждом интервале строится прямоугольник с высотой, равной числу вариант попавших в этот интервал (или доле этих вариант от объема выборки).Двумерная случайная величина
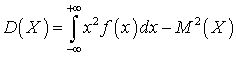
— случайная величина, значение которой определяется двумя числами.Дисперсия случайной величины
—
.Дисперсионный анализ
— анализ статистических данных, позволяющий установить воздействие фактора на значения случайной величины.Дисперсия «исправленная» выборочная
—
.Дисперсия внутригрупповая
— сумма групповых дисперсий, умноженных на объемы групп и деленную на объем всей совокупности:
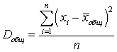
.Дисперсия выборочная
— среднее арифметическое квадратов отклонений значений признака в выборке от их выборочного среднего.Дисперсия генеральная
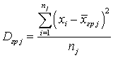
— среднее арифметическое квадратов отклонений значений признака генеральной совокупности от их генерального среднего.Дисперсия групповая
(в j- группе) — среднее арифметическое квадратов отклонений значений признака, принадлежащих группе, от их группового среднего:
.Дисперсия для нормального распределения
—
.Дисперсия межгрупповая
— сумма квадратов отклонений групповых средних от общего среднего, умноженных на объемы групп, и деленную на объем всей совокупности:
.Дисперсия непрерывной случайной величины
—
.Дисперсия общая
— среднее арифметическое квадратов отклонений значений признака, принадлежащих всей совокупности, от их общего среднего:
.Дисперсия показательного распределения
—
.Дисперсия равномерно распределенной на (a, b) случайной величины
—
.Дисперсия случайной функцииX (t)
— функция DX (t), значение которой при каждом значении аргумента t есть дисперсия случайной величины — сечения X (t).Доверительный интервал
— интервал, в который попадает значение оцениваемого параметра генеральной совокупности с заданной надежностью.Достоверное событие
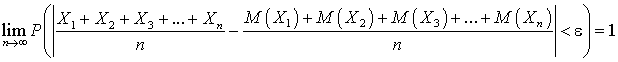
— событие, которое обязательно произойдет при любом испытании.Закон больших чисел
— поведение суммы достаточно большого количества случайных величин становится почти закономерным.Закон распределения дискретной двумерной случайной величины
— соответствие между ее возможными значениями (xi, yj) и вероятностями их реализации pij.Закон распределения дискретной случайной величины
— соответствие между возможными значениями и их вероятностями.Интегральная теорема
Лапласа
—
, где
.Интервальная оценка
— оценка параметра генеральной совокупности интервалом значений, в который он попадает.Классическое определение вероятности
—
.Количество комбинаций выбораm предметов изn с возвращением
— nm.Количество перестановокn предметов
—
.Количество размещенийm предметов изn
—
.Количество сочетанийm предметов изn
—
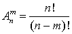
.Комбинаторика
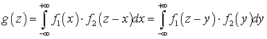
— вычисление количество вариантов выбора m элементов из n элементов .Композиция
— плотность распределения суммы независимых случайных величин.Коррелированные случайные величины
— случайные величины, корреляционный момент которых не равен нулю.Коррелированные случайные функции
— две случайные функции, если их взаимная корреляционная функция не равна тождественно нулю.Корреляционная функция случайной функцииX (t)
— корреляционный момент случайных величин, соответствующих двум сечениям при значениях аргумента t1 и t2, то есть
.Корреляционный анализ
— анализ статистических данных, позволяющий установить взаимосвязь случайных величин.Корреляционный момент
—
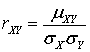
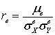
.Коэффициент корреляции
—
.Критическая область
— область значений статистического критерия, когда нулевая гипотеза отвергается.Критические точки
— точки, разделяющие критическую область и область принятия гипотезы.Линейная регрессия
— установление линейной зависимости между двумя случайными величинами
.
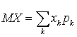
—
.Математическое ожидание дискретной случайной величины
—
.Математическое ожидание для нормального распределения
—
.Математическое ожидание непрерывной случайной величины
—
.Математическое ожидание показательного распределения
—
.Математическое ожидание случайной функцииX (t)
— функция MX (t), значение которой при каждом значении аргумента t есть математическое ожидание случайной величины — сечения X (t).Математическое ожидание функции одного случайного аргумента
—
.Метод Монте-Карло
— метод, основанный на разыгрывании случайной величины, математическое ожидание которой равно вычисляемому значению.Наблюдаемое значение критерия
— значение критерия (случайной величины), вычисленное по данным выборки (или выборок).Надежность (доверительная вероятность)
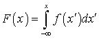
— вероятность (близкая к единице), что значение оцениваемого параметра генеральной совокупности попадает в интервал.Нахождение функции распределения F (x) по плотности распределения f (x)
—
.Невозможное событие
— событие, которое не может произойти ни при каких испытаниях.Независимые в совокупности события
— независимы каждые два из них и независимы каждое из них и все возможные произведения остальных.Независимые случайные величины
— случайные величины, законы распределения которых не зависят от значений другой случайной величины.Независимые события
— появление одного не сказывается на вероятности реализации другого события.Некоррелированные случайные величины
— случайные величины, корреляционный момент которых равен нулю.Некоррелированные случайные функции
— две случайные функции, если их взаимная корреляционная функция равна тождественно нулю.Неравенство
Чебышева
—
.Несмещенная оценка
— оценка параметра генеральной совокупности по выборке, когда математическое ожидание параметра выборки равно параметру генеральной совокупности.Несовместные события
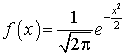
— события, в которых появление одного события исключает появление другого события.Нормальное распределение
—
.Нормированная взаимная корреляционная функция случайных функций X (t) и Y (t)
—
.Нормированная корреляционная функция случайной функции X (t)
—
.Нормированная нормально распределенная случайная величина
—
.Область принятия гипотезы
— область значений статистического критерия, когда нулевая гипотеза принимается.Общая сумма квадратов отклонений значений случайной величины от общего среднего
—
.Объем совокупности
— число объектов в этой совокупности.Остаточная сумма квадратов отклонений значений случайной величины от групповых средних
—
.Отбор механический
— отбор, при котором генеральная совокупность делится по порядку на столько групп, сколько объектов должно войти в выборку, и из каждой группы выбирается один объект.Отбор простой случайный
— отбор, при котором объекты перемешивают и вытаскивают по одному наудачу.Отбор серийный
— отбор, при котором генеральная совокупность делится на группы, и для исследования берется одна из групп.Отбор типический
— отбор, при котором генеральная совокупность делится на отдельные части, и из каждой части наудачу отбирается некоторое количество объектов, при этом пропорции между количеством отобранных предметов каждой из частей определяются пропорциями объемов этих частей в генеральной совокупности.Ошибка второго рода
— ошибка, когда принимается неправильная нулевая гипотеза.Ошибка первого рода
— ошибка, когда отвергается правильная нулевая гипотеза.Перестановки
— комбинации, составленные из одних и тех же элементов и отличающиеся порядком их следования.Плотность распределения
с k степенями свободы
—
.Плотность распределения суммы Z = X + Y двух случайных аргументов
—
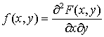
.Плотность распределения вероятностей двумерной непрерывной случайной величины (X,Y)
—
.Плотность распределения вероятностей непрерывной случайной величины
—
.Плотность распределения Стьюдента
с k степенями свободы
—
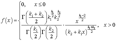
.Плотность распределения Фишера
—Снедекора
со степенями свободыk1 и k2
—
.Плотность распределения функции одного случайного аргумента
—
.Показательное распределение
—
.Полигон частот
— набор точек (xi, ni) (или (xi, wi)), возможно соединенных ломаной линией, для представления статистического распределения выборки.Полная группа событий
— в результате испытания обязательно реализуется хотя бы одно из события.Попарно несовместные события
— каждая пара событий является несовместной.Произведение событий
— событие, заключающееся в том, что произошли все из них.Пространство элементарных событий
— множество всех элементарных событий.Противоположные события
— два несовместных события, образующих полную группу событий.Равновероятные события
— равновозможные события.Равновозможные события
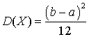
— при большом числе испытаний частота появления одинакова.Равномерное распределение
—
.Размещения
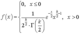
— комбинации, составленные выбором из n различных элементов m различных элементов, отличающиеся либо составом элементов, либо порядком их следования.Распределение «хи квадрат»
—
, где
— нормально распределенные, нормированные, независимые случайные величины.Распределение
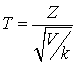
Стьюдента
—
, где Z — нормально распределенная нормированная случайная величина, V — независимая от Z случайная величина, которая распределена по закону
с k степенями свободы.Распределение
Фишера
—Снедекора
—
, где U и V — независимые случайные величины, распределенные по закону
со степенями свободы k1 и k2.Свойства функции плотности распределения непрерывной случайной величины
—
.Сечение случайной функции
— случайная функция, взятая при некотором значении аргумента.Случайная величина
— величина, которая в результате испытания будет принимать одно и только одно значение, заранее неизвестное и зависящее от случайных причин.Случайная величина дискретная
— случайная величина, которая принимает отдельные, изолированные возможные значения.Случайная величина непрерывная
— случайная величина, которая принимает любые значения из некоторого промежутка.Случайная функция
— функция неслучайного аргумента, которая при каждом значении аргумента является случайной величиной.Случайное событие
— событие, которое может произойти, а может не произойти.Смещенная оценка
— оценка параметра генеральной совокупности по выборке, когда математическое ожидание параметра выборки не равно параметру генеральной совокупности.Совместные события
— события, в которых появление одного события не исключает появление другого события.Сочетания
— комбинации, составленные выбором m различных элементов из n различных элементов, отличающиеся только составом (но не порядком следования).Среднее арифметическое случайной величины
—
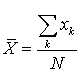
.Среднее выборочное
— среднее арифметическое значений признака в выборке.Среднее генеральное
— среднее арифметическое значений признака в генеральной совокупности.Среднее групповое
— среднее арифметическое значений признака, принадлежащих группе.Среднее общее
— среднее арифметическое значений признака, принадлежащих всей совокупности.Среднеквадратичное отклонение
— квадратный корень из дисперсии.Статистическая гипотеза
— гипотеза о виде неизвестного распределения или о параметрах известного распределения.Статистический критерий
— выбранная случайная величина, которая служит для проверки нулевой гипотезы.Статистическое определение вероятности
— относительная частота появления события в совокупности.Статистическое распределение выборки
— совокупность вариант и соответствующих им частот (или относительных частот).Сумма событий
— событие, заключающееся в том, что произошло хотя бы одно из них.Теорема
Бернулли
— теорема, устанавливающая связь между вероятностью события и относительной частотой его появления.Теорема сложения вероятностей несовместных событий
—
.Теорема сложения вероятностей совместных событий
—
.Теорема
Чебышева
—
.Теоретическая функция распределения
— функция распределения генеральной совокупности.Точечная оценка
— оценка параметра генеральной совокупности по выборке одним числом.Уровень значимости
— вероятность совершить ошибку первого рода.Условная вероятность
— вероятность наступления события, вычисленная в предположении, что некоторое другое событие (условие) наступило.Факторная сумма квадратов отклонений групповых средних от общего среднего
—
.Формула
Бернулли
—
.Формула Лапласа
(локальная предельная теорема
Лапласа
) —
.Формула полной вероятности
—
.Формула
Пуассона
—
, где
.Формулы
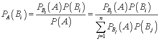
Байеса
—
.Функция двух случайных аргументов
—
.Функция
Лапласа
—
.Функция одного случайного аргумента
—
.Функция распределения вероятностей непрерывной случайной величины
—
.Функция распределения двумерной случайной величины (X, Y)
— функция двух вещественных чисел F(x, y) = P(X < x, Y < y), означающая, что вероятность того что случайная величина X примет значение меньше x, а случайная величина Y примет значение меньше y.Функция распределения для нормально распределенной случайной величины
—
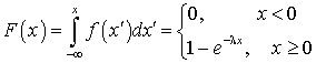
.Функция распределения показательного распределения
—
.Функция распределения равномерно распределенной случайной величины
—
.Центральная предельная теорема
— теорема, устанавливающая, что распределение суммы большого числа взаимно независимых случайных величин близко к нормальному.Частота
— количество данной варианты в совокупности.Частота относительная
— отношение количества данной варианты в совокупности к объему совокупности.Элементарное событие
— событие, которое не разделимо на более простые.Эмпирическая функция распределения (функция распределения выборки)
— функция
, где nx — число вариант со значением меньше x.
include ($_SERVER['DOCUMENT_ROOT'] . '/inc/ad-inc.htm'); ?>