51.
Групповая, внутригрупповая, межгрупповая и общая дисперсия
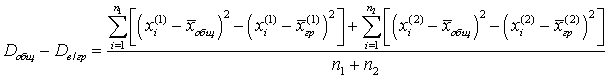
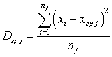
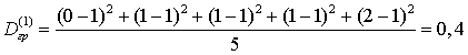
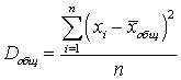
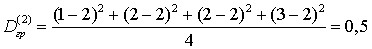
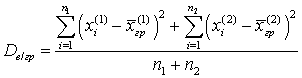
Пусть совокупность (выборочная или генеральная) разбита на k групп. В кванте 49 мы уже познакомились с групповым и общим средним. Введем теперь аналогичные понятия для дисперсий.Определение. Групповой дисперсиейj группе) называют среднее арифметическое квадратов отклонений значений признака, принадлежащих группе, от их группового среднего: .Определение. Внутригрупповой дисперсией называют сумму групповых дисперсий, умноженных на объемы групп и деленную на объем всей совокупности:.Определение. Межгрупповой дисперсией называют сумму квадратов отклонений групповых средних от общего среднего, умноженных на объемы групп и деленную на объем всей совокупности:.Определение. Общей дисперсией называют среднее арифметическое квадратов отклонений значений признака, принадлежащих всей совокупности, от их общего среднего:.Пример 51.1Даны две группы объектов: (0, 1, 1, 1, 2) и (1, 2, 2, 3). Найти групповые и общее средние, групповые, внутригрупповую, межгрупповую и общую дисперсии.Групповое среднее для первой группы:.Групповое среднее для второй группы:.Общее среднее:.Легко видеть, что общее среднее можно рассчитать как сумму групповых средних, умноженных на число объектов в группе, и полученную сумму разделить на число объектов в совокупности.Групповая дисперсия для первой группы:.Групповая дисперсия для второй группы:.Внутригрупповая дисперсия:.Межгрупповая дисперсия:.Общая дисперсия:.Теорема. Если совокупность состоит из нескольких групп, то общая дисперсия равна сумме внутригрупповой и межгрупповой дисперсий .Доказательство.Для уменьшения выкладок рассмотрим частный случай, когда совокупность разделена на две группы. Элементы первой группы будем обозначать символом x(1), а элементы второй группы — x(2). Общая дисперсия есть:.Внутригрупповая дисперсия есть:.Межгрупповая дисперсия есть:.Вычислим:.Применяя формулу для разности квадратов к первой сумме, получим:.Аналогичное выражение будет и для второй суммы. В итоге имеем:.Теорема доказана.Видеолекция «Групповая, внутригрупповая, межгрупповая и общая дисперсия»: