50.
Генеральная и выборочная дисперсия
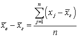
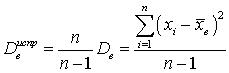
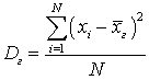
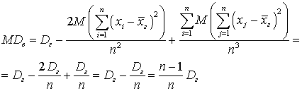
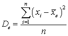
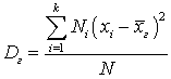
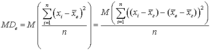
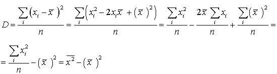
В кванте 49 мы рассмотрели оценку генерального среднего по выборочному среднему. Рассмотрим теперь оценку дисперсии генеральной совокупности.Определение. Генеральной дисперсией Dг называют среднее арифметическое квадратов отклонений значений признака генеральной совокупности от их среднего значения .Если всех значения различны, то:.Если значение xi встречается с частотой Ni, то:,при этом .Определение. Генеральным среднеквадратичным отклонением называют .Определение. Выборочной дисперсией Dв называют среднее арифметическое квадратов отклонений значений признака в выборке от их выборочного среднего .Если всех значения различны, то:.Если значение xi встречается с частотой ni, то:,при этом .Определение. Выборочным среднеквадратичным отклонением называют .Теорема. Дисперсия (выборочная или генеральная) равна разности среднего от квадратов и квадрата от средней .Доказательство..Теорема доказана.Для оценки генеральной дисперсии по выборке естественно было бы выбрать соотношение , однако, такая оценка является смещенной, то есть математическое ожидание случайной величины — выборочной дисперсии — не равно групповой дисперсии . Действительно, вычислим:.Здесь мы воспользовались свойством, что постоянный множитель можно выносить за знак математического ожидания, а далее воспользуемся тем, что математическое ожидание от суммы равно сумме математических ожиданий:.Внося знак математического ожидания под знак суммы в первом слагаемом, получим сумму nгенеральных дисперсий, и после деления на знаменатель первое слагаемое оказывается Dг:.В этом выражении также использовано, что . Далее предполагаем, что случайные величины — значение признака xi — независимы. Перемножение двух сумм во втором слагаемом и возведение в квадрат в третьем даст перекрестные члены (с разным номером i в сумме) и полные квадраты. Ввиду предположенной независимости случайных величин, математическое ожидание от произведений с различными i будет равно произведению математических ожиданий, каждое из которых — нуль (вычисляется математическое ожидание отклонения случайной величины от математического ожидания). Полные же квадраты останутся, в результате чего имеем:.Мы получили, что математическое ожидание случайной величины — выборочной дисперсии — не равно генеральной дисперсии. Однако, как легко видеть, оценку можно «исправить», то есть в качестве оценки генеральной дисперсии брать «исправленную» выборочную дисперсию:,которая уже будет несмещенной оценкой. Видно, что «исправленная» выборочная дисперсия отличается от обычной знаменателем. При большом объеме выборки разница между ними стирается, и можно пользоваться любой. При n < 30 для оценки генеральной дисперсии используют «исправленную» выборочную. Аналогично оценке генерального среднего, оценка генеральной дисперсии в виде «исправленной» выборочной дисперсии является состоятельной, то есть при достаточно большом объеме выборки различия в выборочной дисперсии разных выборок будут малы и будут достаточно точно описывать генеральную дисперсию.Определение. «Исправленным» выборочным среднеквадратичным отклонением называют .Замечание. «Исправленное» выборочное среднеквадратичное отклонение не является несмещенной оценкой среднеквадратичного отклонения генеральной совокупности.Видеолекция «Генеральная и выборочная дисперсия»: