47.
Случайные функции
Определение. Случайной функцией называют функцию неслучайного аргумента, которая при каждом значении аргумента является случайной величиной.Будем обозначать случайные функции по аналогии с обозначением случайных величин X (t), Y (t) в которых аргумент t подчеркивает, что это именно случайная функция, а не просто случайная величина.Пример 47.1Случайной функцией будет скорость полета снаряда как функция неслучайного аргумента — времени. Действительно, два одинаковых снаряда выпущенные из одного и того же орудия будут в течение своего полета иметь различную зависимость скорости от времени, так как на движение оказывает влияние множество неконтролируемых факторов, таких как сила и направление ветра.Пример 47.2Случайной функцией будет диаметр нити в катушке как функция расстояния от начала нити. Действительно, две одинаковых нити, даже изготовленные на одном и том же станке, не будут иметь совершенно одинаковых характеристик.Пример 47.3Случайной функцией будет, например, произведение случайной величины на некоторый неслучайный аргумент: .При некотором фиксированном значении аргумента случайная функция становится случайной величиной (сечение случайной функции). Таким образом, случайная функция может рассматриваться как совокупность случайных величин для всех значений аргумента. С другой стороны, для некоторой конкретной ситуации, которая произошла, мы имеем неслучайную функцию. Если повторить тот же процесс, то функция уже будет другой. В таких случаях обычно говорят о реализации случайной функции и таким образом случайную функцию можно рассматривать как совокупность всех возможных ее реализаций.Математическое ожидание и дисперсия случайной функцииДля максимально полного описания случайной величины мы вводили понятие закона распределения. Закон распределения мы вводили и для совокупности двух случайных величин, причем этот закон не сводился к произведению законов распределения каждой из случайных величин в отдельности. В случае случайных функций такое описание было бы слишком сложным, поскольку закон распределения понадобился бы для совокупности всех значения аргумента, который может быть непрерывной величиной. Для менее полного описания случайных величин вводились понятия математического ожидания, дисперсии и корреляционного момента. Рассмотрим эти понятия применительно к случайным функциям.Определение. Математическим ожиданием случайной функции X (t) называют функцию MX (t), значение которой при каждом значении аргумента t есть математическое ожидание случайной величины — сечения X (t).Замечание. Для нахождения математического ожидания необходим только закон распределения для каждого значения t, а не закон распределения для совокупности всех значений t.Свойства математического ожидания случайной функции
  1. Математическое ожидание неслучайной функции c (t) равно самой неслучайной функции:.
  2. Неслучайный множитель c (t) можно выносить за знак математического ожидания, то есть:.
  3. Математическое ожидание суммы двух случайных функций равно сумме математических ожиданий, то есть:.
Все сформулированные свойства доказываются на основе аналогичных свойств математического ожидания случайной величины и определения математического ожидания случайной функции, которое, фактически, сводит это понятие к понятию математического ожидания случайной величины.Определение. Дисперсией случайной функции X (t) называют функцию DX (t), значение которой при каждом значении аргумента t есть дисперсия случайной величины — сечения X (t).Замечание. Для нахождения дисперсии необходим только закон распределения для каждого значения t, а не закон распределения для совокупности всех значений t.Определение. Среднеквадратичным отклонением случайной функцииX (t) называют функцию .Замечание. Среднеквадратичное отклонение вводится по аналогии со случайными величинами и дает величину размерности случайной функции, в отличие от дисперсии, которая имеет размерность квадрата случайной функции.Свойства дисперсии случайной функции
  1. Дисперсия всегда не отрицательна, то есть:.
  2. Дисперсия неслучайной функции с (t) равна нулю:.
  3. Неслучайный множитель с (t) можно следующим образом выносить за знак дисперсии:.
  4. Дисперсия суммы случайной и неслучайной функций равна дисперсии случайной функции, то есть:.
Все сформулированные свойства доказываются на основе аналогичных свойств дисперсии случайной величины и определения дисперсии случайной функции, которое, фактически, сводит это понятие к понятию дисперсии случайной величины.Пример 47.1Найти математическое ожидание и дисперсию случайной функции , где X — случайная величина с MX = 3 и DX = 2.Используя свойства математического ожидания и дисперсии случайной функции, имеем:,.Корреляционная функция случайной функцииМатематическое ожидание и дисперсия случайной функции определены на основе закона распределения случайной величины, которая есть сечение случайной функции при некотором значении аргумента t. И хотя так сделано для всех возможных значений t, тем не менее математическое ожидание и дисперсия характеризуют случайную величину только при одном значении аргумента и не учитывают, как связаны между собой значения случайной функции при разных значениях аргумента. Для того, чтобы описать эту зависимость, вводят понятие корреляционной функции.Определение. Корреляционной функцией случайной функции X (t) называют корреляционный момент случайных величин, соответствующих двум сечениям при значениях аргумента t1 и t2, то есть:Eqn_47-13.gif .Замечание. При t1 = t2 корреляционная функция равна дисперсии:.Свойства корреляционной функции
  1. .Аргументы корреляционной функции можно менять местами. Это очевидно из определения корреляционной функции.
  2. Прибавление к случайной функции неслучайного слагаемого не меняет корреляционной функции, то есть:.Действительно, каждый из множителей, стоящий в определении корреляционной функции не меняется при добавлении неслучайной функции, а значит и сама корреляционная функция не изменится. Здесь мы использовали 1-е и 3-е свойства математического ожидания случайной функции.
  3. Неслучайный множитель с (t) можно следующим образом выносить за знак корреляционной функции:.Действительно, используя свойство 2 математического ожидания случайной функции из каждого множителя в определении корреляционной функции можно вынести неслучайную функцию за скобку. В итоге и появляется множитель перед знаком корреляционной функции.
  4. .Следует из аналогичного свойства для корреляционного момента, рассмотренного в кванте 45.
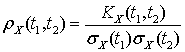
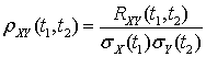
В кванте 45 наряду с корреляционным моментом вводился коэффициент корреляции, который делал безразмерной корреляционный момент в случае, когда случайная величина имела размерность. Введем по аналогии нормированную корреляционную функцию.Определение. Нормированной корреляционной функцией случайной функции X (t) называется функция:.Замечание. Нормированная корреляционная функция обладает свойствами 1 и 2 корреляционной функции. Свойство 3 запишется в виде:.Здесь использована функция:Свойство 4 запишется в виде:.При доказательство всех свойств нормированной корреляционной функции очевидно.Вероятностный смысл нормированной корреляционной функции, аналогично коэффициенту корреляции, состоит в том, что чем ближе модуль нормированной корреляционной функции к единице, тем более сильная связь между сечениями случайной функции, чем ближе модуль к нулю — тем эта связь слабее.Пример 47.2Найти корреляционную функцию случайной функции , где X — случайная величина с MX = 3 и DX = 2.Используя свойства корреляционной функции случайной функции, рассмотренные выше, имеем:.Взаимная корреляционная функция двух случайных функцийКорреляционная функция была введена для возможности оценить зависимость сечений одной случайной функции. Когда требуется оценить зависимость двух случайных функций, вводят понятие взаимной корреляционной функции. При этом часто просто корреляционную функцию (одной случайной функции) называют автокорреляционной функцией.Определение. Взаимной корреляционной функцией случайных функций X (t) и Y (t) называют корреляционный момент случайных величин, соответствующих двум сечениям двух случайных функций при значениях аргумента t1 и t2, то есть:.Определение. Коррелированными называют две случайные функции, если их взаимная корреляционная функция не равна тождественно нулю.Определение. Некоррелированными называют две случайные функции, если их взаимная корреляционная функция равна тождественно нулю.Свойства взаимной корреляционной функции
  1. .
  2. Прибавление к случайным функциям неслучайных слагаемых не меняет взаимной корреляционной функции, то есть:.
  3. Неслучайные множители с1 (t) и с2 (t) случайных функций X (t) и Y (t), соответственно, можно следующим образом выносить за знак взаимной корреляционной функции:.
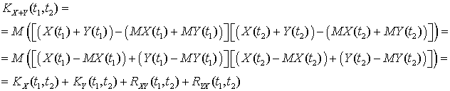
  4. .
Доказательства всех свойств совершенно аналогичны доказательствам свойств корреляционной функции одной случайной функции.Определение. Нормированной взаимной корреляционной функцией случайных функций X (t) и Y (t) называется:.Замечание. Свойства нормированной взаимной корреляционной функции отличаются от свойств исходной взаимной корреляционной функции так же, как свойства нормированной корреляционной функции одной случайной функции отличаются от ее ненормированного аналога.Теорема. Корреляционная функция суммы двух случайных функций равна:.Доказательство.По определению корреляционной и взаимной корреляционной функций, а также на основе свойства 3 математического ожидания имеем:.Применяя первое свойство взаимной корреляционной функции к последнему слагаемому, можем переписать выражение в виде:.Теорема доказана.Следствие. Корреляционная функция суммы двух некоррелированных случайных функций равна:.Пример 47.3Найти взаимную корреляционную функцию случайных функций и , где X — случайная величина с MX = 3 и DX = 2.Используя свойства взаимной корреляционной функции случайных функций, рассмотренные выше, имеем:.Видеолекция «Случайные функции»: