, то выбирая вместо Y другую величину
, получим линейную связь
. Поэтому будем в дальнейшем рассматривать линейную связь случайных величин X и Y и будем говорить о так называемой линейной регрессии
Yна X. Другими словами, будем строить функцию, связывающую две случайных величины, X и Y, в виде
, где коэффициенты α и β определяются таким образом, чтобы функция
имела наименьшее возможное значение (среднеквадратичная линейная регрессия).Теорема. Линейная среднеквадратичная регрессия
случайной величины Yна случайную величину Xимеет вид
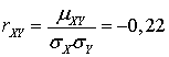
, где
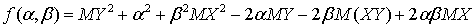
.Доказательство.Преобразуем функцию
к виду:
и исследуем ее на экстремум, для чего вычислим производные:
,
.Экстремум определяется равенством нулю частных производные, таким образом, имеем систему:
.Домножая первое уравнение на и вычитая его из второго, получим коэффициент:
.Выражая α из первого уравнения и подставляя найденное значение β, получим:
.То, что эти значения дают именно минимум f (α, β) (а не максимум), очевидно из того факта, что максимума здесь быть не может. Это на примере можно охарактеризовать тем, что прямую, в принципе, можно провести сколь угодно далеко от экспериментальных точек. Теорема доказана.Пример 46.1Для совокупности двух случайных величин X и Y, заданных законом распределения (см. таблицу ниже), построить прямую, осуществляющую линейную среднеквадратичную регрессию Y на X.
|
x1 = -1 |
x2 = 0 |
x3 = 1 |
y1 = 0 |
0,1 |
0,2 |
0,1 |
y2 = 2 |
0,3 |
0,2 |
0,1 |
. Вычислим все величины, входящие в уравнение:
,
,
,



.В итоге закон регрессии Y на X имеет вид:
.Видеолекция «Линейная регрессия»: