40.
Функция двух случайных аргументов и ее распределение
В курсе математического анализа, помимо функции одного случайного аргумента, определялась функция нескольких, например, двух аргументов. Аналогично можно ввести понятие функции двух случайных аргументов.Определение. Если каждой паре возможных значений случайных величин X и Y ставится в соответствие одно возможное значение случайной величины Z, то это означает, что Z является функцией двух случайных аргументовX и Y.Покажем, как найти распределение Z, если распределения X и Y нам известны.
  1. Пусть аргумент X и Y — дискретные независимые случайные величины.Если различным значениям аргументов X и Yсоответствуют различные значения функции , а законы их распределений имеют вид:

    X

    x1

    x2

    x3

    x4

    xn

    P

    p1(x)

    p2(x)

    p3(x)

    p4(x)

    pn(x)

    Y

    y1

    y2

    y3

    y4

    ym

    P

    p1(y)

    p2(y)

    p3(y)

    p4(y)

    pm(y)

    В этом случае закон распределения функции будет:

    Z

    P

    Если среди значений есть равные между собой, то следует складывать вероятности повторяющихся значений Z, как это делается в случае функции одного случайного аргумента.Пример 40.1Имеются 2 случайные величины X и Y, распределенные следующим образом:

    X

    1

    2

    P

    0,3

    0,7

    Y

    2

    3

    P

    0,4

    0,6

    Определить распределение случайной величины .Решение. Возможные значения Z есть произведение каждого возможного значенияX на каждое возможное значение Y:.Вероятности вычисляются умножением соответствующих вероятностей. В результате получим закон распределения:

    Z

    2

    3

    8

    12

    P

    0,12

    0,18

    0,28

    0,42

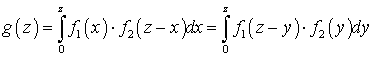
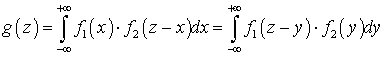
  2. Пусть X и Y — непрерывные случайные величины с плотностями распределения и . Доказано, что если X и Y — независимы, то плотность распределения суммы определяется равенством:.Если возможные значения аргументов неотрицательны, то определяется формулой:.
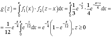
Плотность распределения суммы независимых случайных величин называют композицией.Закон распределения вероятностей называется устойчивым, если композиция из таких законов дает тот же самый закон. Например, нормальный закон распределения устойчив. Если X и Y распределены нормально с математическими ожиданиями a1 и a2 и дисперсиями D1 и D2, то композиция этих величин также распределена нормально, причем ее математическое ожидание и дисперсия есть a1 + a2 и D1 + D2.Пример 40.2Имеются 2 случайные величины X и Y, распределенные следующим образом:.Найти плотность распределения (композицию) .Решение.. Видеолекция «Функция двух случайных аргументов и ее распределение»: