X.
Покажем, как найти распределение Y, если распределение X нам известно.
, то вероятности соответствующих значений X и Y равны. То есть законы распределения имеют вид :
X |
x1 |
x2 |
x3 |
x4 |
… |
xn |
P |
p1 |
p2 |
p3 |
p4 |
… |
pn |
Y |
φ(x1) |
φ(x2) |
φ(x3) |
φ(x4) |
… |
φ(xn) |
P |
p1 |
p2 |
p3 |
p4 |
… |
pn |
есть равные между собой, то следует складывать вероятности повторяющихся значений Y. Например, если в приведенной выше таблице
, то таблица примет вид:
Y |
φ (x1) |
φ (x2) |
φ (x4) |
… |
φ (xn) |
P |
p1 |
p2 + p3 |
p4 |
… |
pn |
— дифференцируемая, монотонно возрастающая (убывающая) функция, обратная функция к которой есть
, то плотность распределения g (y) случайной величины Y есть:
.
. Найти распределение функции
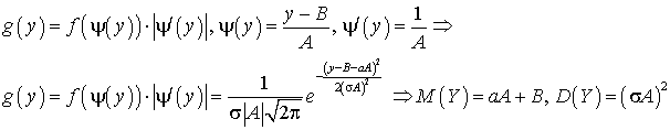
.Решение.
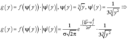
,Пример 39.2Имеется нормально распределенная случайная величина с плотностью распределения равной
. Найти распределение функции
.Решение.
Математическое ожидание функции одного случайного аргумента
. В соответствии с законом распределения:
Y |
φ (x1) |
φ(x2) |
φ(x3) |
φ(x4) |
… |
φ(xn) |
P |
p1 |
p2 |
p3 |
p4 |
… |
pn |

.
Можно показать, что 
и 0 вне этого интервала. Найти математическое ожидание функции
.Решение.
. Интегрируя по частям, получим
. Видеолекция «Функция одного случайного аргумента и ее распределение»: