19.
Задачи на формулу полной вероятности и формулы Байеса
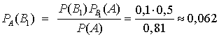
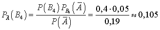
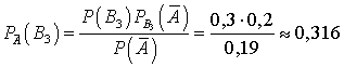
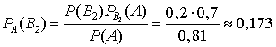
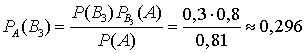
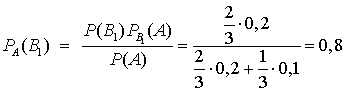
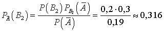
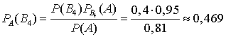
Пример 19.1К больному с приступом аппендицита приехала скорая помощь. В городе четыре больницы (№ 1, № 2, № 3, № 4). Вероятность попасть в первую больницу составляет 10%; во вторую — 20%; в третью — 30%; в четвертую — 40%. В первой больнице вероятность послеоперационного осложнения — 50%; во второй — 30%; в третьей — 20%; в четвертой — 5%. Какова вероятность того, что у больного операция пройдет без осложнений?Обозначим черезB1,B2,B3 иB4 события, заключающиеся в попадании в больницы № 1, № 2, № 3 и № 4, соответственно, причем их вероятности по условию равны ; ; и . Пусть A — это событие «операция прошла без осложнений» и, как следует из условия ; ; ; . По формуле полной вероятности имеем:.Пример 19.2К больному с приступом аппендицита приехала скорая помощь. В городе четыре больницы (№ 1, № 2, № 3, № 4). Вероятность попасть в первую больницу составляет 10%; во вторую — 20%; в третью — 30%; в четвертую — 40%. В первой больнице вероятность послеоперационного осложнения — 50%; во второй — 30%; в третьей — 20%; в четвертой — 5%. Известно, что некоторый человек был отвезен «скорой» в некоторую клинику и прооперирован удачно. Какова вероятность того, что операция производилась в 1-й, 2-й, 3-й и 4-й клиниках?Условие задачи совпадает с предыдущей. Сохраняя прежние обозначения и используя найденное выше , по формулам Байеса имеем:, , , . Пример 19.3К больному с приступом аппендицита приехала скорая помощь. В городе четыре больницы (№ 1, № 2, № 3, № 4). Вероятность попасть в первую больницу составляет 10%; во вторую — 20%; в третью — 30%; в четвертую — 40%. В первой больнице вероятность послеоперационного осложнения — 50%; во второй — 30%; в третьей — 20%; в четвертой — 5%. Известно, что некоторый человек был отвезен «скорой» в некоторую клинику, прооперирован, но имели место послеоперационные осложнения. Какова вероятность того, что операция производилась в 1-й, 2-й, 3-й и 4-й клиниках?Условие задачи совпадает с предыдущей, кроме условия о результатах операции. Сохраняя прежние обозначения и используя полученные результаты, видим, что безусловная вероятность того, что операция прошла неудачно — . Используя формулы Байеса, получим:, , , . Пример 19.4В первом ящике содержится 4 синих и 6 красных шаров; во втором ящике — 7 синих и 7 красных. Из первого ящика наудачу извлекается один шар и перекладывается во второй ящик. Затем из второго ящика наудачу извлекается один шар. Какова вероятность того, что это будет синий шар?Введем две гипотезы: гипотеза B1 соответствует событию «из первого ящика вытащили синий шар»; гипотеза B2 соответствует событию «из первого ящика вытащили красный шар». Из условия задачи легко получить, что , . Эти события несовместны, и образуют полную группу, поэтому сумма их вероятностей равна единице. Далее рассмотрим задачу вытаскивания синего шара из второго ящика (обозначим это событие через A) при различных гипотезах. Если во второй ящик переложен синий шар, то , если во второй ящик переложен красный шар, то . И, наконец, по формуле полной вероятности получаем:. Пример 19.5Два станка производят одинаковые детали, поступающие на общий конвейер. Производительность первого станка вдвое больше производительности второго. На первом станке получается 20% брака, на втором — 10%. Наудачу взятая деталь оказалась бракованной. Какова вероятность того, что эта деталь произведена первым станком; вторым станком?Обозначим через гипотезы B1 и B2 события, заключающиеся в том, что наудачу взятая с конвейера деталь произведена первым и вторым станком, соответственно, а через A — событие, что взятая деталь бракованная. Из того, что производительность первого станка вдвое больше производительности второго, следует, что и . По условию задачи , .Используя формулы Байеса, имеем:, .  Видеолекция «Задачи на формулу полной вероятности и формулы Байеса»: